0.6.0
Loading...
Searching...
No Matches
Advection dominated flow

Mass transfer in an advection dominated flow without phase volume change.

Mass transfer in an advection dominated flow without phase volume change.

Description of the test case

In this test case, we focus on the diffusion of a species \(A\) in a multiphase system. The objective here is to validate the implementation of the diffusion flux in the species conservation equation in a more complex context.

More specifically, a pure gas phase, composed solely of species \(A\), is separated by an interface from a liquid solution containing species \(A\) and \(B\). Both phases are advected together by a laminar flow at a constant velocity \(u_{\text{const}}\), and a mass transfer occurs from the gas phase to the liquid phase.

The objective of this test case is therefore to numerically investigate the diffusion of species \(A\) in this two-phase system and to compare the obtained results with a reference analytical solution [1].

The advection velocity \(u_{\text{const}}\) is chosen to achieve a Péclet number \(\text{Pe}\) equal to 1000.

Configuration

Physical domain and geometry

The simulation takes place in a 2D box of height \(2 \, l_I\) and length \(L = 50 \times l_I \), where \(l_I \) denotes the position of the interface between the two phases. The phases are here stacked: the liquid phase occupies the lower part of the domain \(0 \leq y \leq l_I \), while the gas phase is located above \(l_I \leq y \leq 2\,l_I \).

Species properties

The diffusion coefficients are set to achieve a ratio \(\frac{D_{A,g}}{D_{A,l}} = 1000 \), with \(D_{A,g} = 2 \times 10^{-4}\,\mathrm{m^2\,s^{-1}} \) and \(D_{A,l} = 2 \times 10^{-7}\,\mathrm{m^2\,s^{-1}} \).

Consistent with the choice of \(\text{Pe} = 1000 \), the advection velocity \(u_{\text{const}} \) is directly deduced by taking \(L_{\text{ref}} = l_I \) as the reference length.

Initial and boundary conditions

The initial concentrations are imposed as \(\rho_{A,g}^0 = 1~\mathrm{kg}.\mathrm{m}^{3}\) in the gas phase and \(\rho_{A,l}^0 = 0~\mathrm{kg}.\mathrm{m}^{3} \) in the liquid phase. These values are also maintained as Dirichlet boundary conditions, respectively on \(y \in [l_I, 2\,l_I] \) (gas side) and on \(y \in [0, l_I] \) (liquid side) throughout the simulation. An outflow condition is applied at \(x = L \), while symmetry conditions are imposed on the other boundaries.

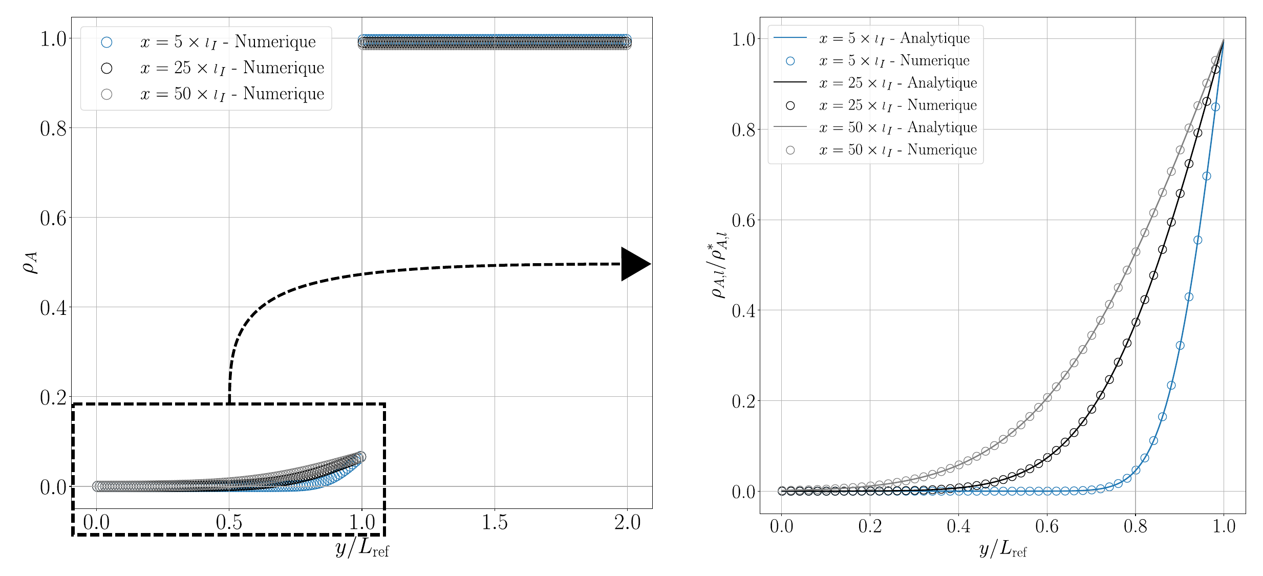
Results

The results are shown in Figure 1.

Figure 1: Steady-state concentration profiles in the liquid phase obtained for an advection-dominated flow. Comparison between the numerically obtained profiles and those calculated analytically.

The obtained results, based on the comparison between theoretical and numerical concentration profiles as well as the analysis of the concentration field, confirm the validity of the implementation of Haroun's flux in advection-dominated flows, characterized by high Péclet numbers, where the directions of mass transfer and flow are perpendicular.

[1] Deising, D., Marschall, H., & Bothe, D. (2016). A unified single-field model framework for Volume-Of-Fluid simulations of interfacial species transfer applied to bubbly flows. Chemical Engineering Science, 139, 173-195. https://doi.org/https://doi.org/10.1016/j.ces.2015.06.021